- Get link
- X
- Other Apps

Rc Discharging Circuit Tutorial Rc Time Constant

Capacitor Working Principle Charging And Discharging

Schoolphysics Welcome


Charging And Discharging Capacitors

Solved Problem 2 Discharging Rc Circuit Consider An Rc

Lesson 15 Capacitors Transient Analysis Ppt Video Online

Capacitor Discharging Transient State

How Capacitor Works With Dc

Capacitor Discharging

Charging And Discharging Capacitors
File Capacitor Square Wave Charge Discharge Svg Wikimedia

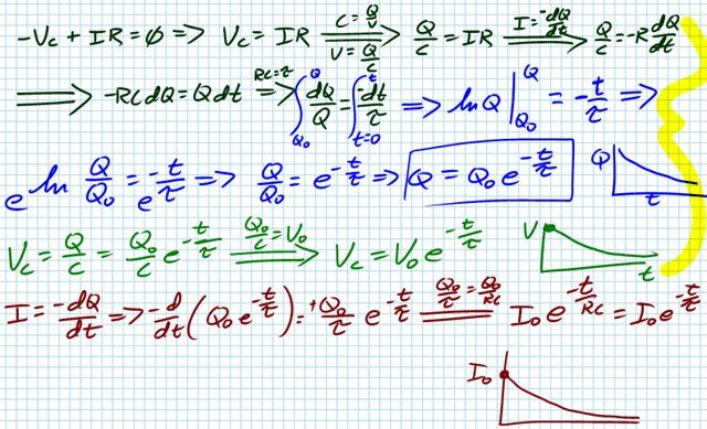
Rc Circuits Discharging Capacitors Ap Physics C

Capacitor Working Principle Charging And Discharging

Lesson 15 Capacitors Transient Analysis Ppt Video Online

Charging And Discharging Capacitors
Comments
Post a Comment